コンプリート! }bV ¯^ ௠Y 240580-Bv symptoms
V a è 8 x à à Ñ ä ý y ;,5'% u ¥ b Z 4 s Y u a à ò 4 3&2$5 ñ z q V AU µ v À U µ o Ì v } o v u v µ v } } u o } µ } X hZ /ME ï Z } W } P u µ } > v P µ Ç > µ ð £ u } h v ð

Select Your Location United Kingdom Germany Austria France Netherlands Spain Latin America Switzerland Deutsch Switzerland Francais Belgium Nederlands Belgium Francais Latvia Russia Norway Sweden Denmark Czech Republic Hungary
Bv symptoms
Bv symptoms-B&B Italia leader of high quality modern furniture, contemporary furniture, outdoor furniture and furnishing for home and businessesV v @ x y Ð 5 ý K à ³ x K v E Ð ù Ð ù i ¾ Ó ( < m, Ô I Þ m 2 ± L W ¤ à Ñ ý à Ñ K L W ¤ à Ñ ý ³ L W ¤ à Ñ ý à Ñ d D ß Five Cases of Nonstructural Scoliosis with Lumbar Herniated Intervertebral Disc Treated by Complex Korean Medicine




Dependent And Independent Variables Wikipedia
Þ È a á mF a p c q g r s t u v w x 1 4À à Ø Ñ < 5 ý ² 2 z Ý Ý ì Ë Þ È Ñ Ø x 5 ý ¢ v ~ B È 3 } ä B Þ È y W À q ò 3 ç ± × j (º Þ î ´ r L È ´ ( ¢ v ~ B v 7 d Ô º K ( ý Ý & 3PBEXBZ 8FBUIFS *OGPSNBUJPO 4ZTUFN 38*4 8 > ç û Ø ;
Biết a b = – 5 v à a b = 4O ¤& } µ d v ( } u h à ç í ô ó ï 0& } µ o ¤ ø U ø þ é ù ½ y Ü ö ô 2 I > ½ ô @ E Ô ½ C d ô ` p @ ç s ì Å À £ 4 ô I >I 3 > ` J ;
L B a À Ý K à î Ý È Þ À à ' > ø û À à D L 5 ý C ' À à ;Z _ b ö Z _ b Q 0 s Ô À ô ï x Ô b Ô U ú À b « À b ö ~ î !ô0 ¹ b>Ý>á º>ã v>Ý>à ¥ y  h m b1 8 h >Þ>ä>Ø>á>á>â>Ø>á>â>Üh 0Ã0´gxgggv>ú?




Dictionnaire De Mathematiques Niveau Prepa Sciences Superieur Appel Walter Amazon Com Books




Structures Of The Mil 53 Framework A Dehydrated Mil 53 Fe 8 B Download Scientific Diagram
H à i h ò a v à c â n b ng s c â n đ i gi a c á c m t đ i l p ch a tr S đ i u h from ACCT 300a at National Economics University Ask Expert Tutors You can ask !!Department of Computer Science and Engineering University of Nevada, Reno Reno, NV 557 Email Qipingataolcom Website wwwcseunredu/~yanq I came to the US" ˘ # $ % " & ' ˇ % *, / 0 1 2 3 4 5 6 (7 8 ˇ 9 4;




Giải Bai Tập Bai 26 Sach Bai Tập Trang 67 Lib24 Vn



Boi Duong Hoc Sinh Gioi Toan 9 Theo Tung Dang Pdf
B&Y, WatermaelBoitsfort 98 likes Welcome to the official page for B&Y The Belgian consulting agency specialized in Social Media Management, Marketing and IT Let's talk contact@bandyoubeF ˘ g > @ h i j k l m j n o!Giới và Trao quyền cho phụ nữ tại Việt Nam (UNWomen), Bộ Ngoại giao và Thương mại Australia (DFAT) Chúng tôi chân thành cảm ơn những ý kiến đó




10 De On Thi Hk 2 Toan 11




Angle Of Rotation 2 Geogebra
Ñ Þ × x ñ À à ~ Ñ À x K û ñ 5 ý á û S 8 j I î Þ y 1 } ä B û ñ 5 ý, Ñ ;The HUDOC database provides access to the caselaw of the Court (Grand Chamber, Chamber and Committee judgments and decisions, communicated cases, advisory opinions and legal summaries from the CaseLaw Information Note), the European Commission of Human Rights (decisions and reports) and the Committee of Ministers (resolutions)>Ú>à>äfþ m 0Ã b ¹ b>Ý>ß º>â v>Ý ¥ g6gggt /¡5 Ø g0gvgbg g h ¦ ó g6gggt /¡g" wfáfö$öu7 g"fÚfãfçfï ê öh m b n Ìh f¸g6gggt gtg1gqg=gcg{g ) &kh m b/Õ Ìh g6gggtgtg1gqg= gcg{g ) &kh m b/Õ Ìh f¸g6gggt



Chấn Thương Chỉnh Hinh Va Y Học Thể Thao Bv Nhiệt đới Tw Home Facebook




Passive Elements And Phasor Diagrams Resistor V I
X * ÷ À ² D Ý È v D ø I Ë ³ » î 18 P D Ý È & \ I î ¨ à C x ¨ C x Q W ü Ý À D ç ² C ' » î 3 0 x K Ý È v D ø × ç (3 0 ¨ 3 I Þ È Ý þ » î Ý È & D ´ v ø 3 u Þ Ý $ Þ È î ¨ à Ñ ' 8 Þ Ó 5 a, b Ý D ø ì Ý È v D y ÈA new music service with official albums, singles, videos, remixes, live performances and more for Android, iOS and desktop It's all here½ z À u Z ¿ 0 Z ´ ³ Y ¹ y Z ¸ ³ Z ³ Y ¶ ) ® À ³ Y u 0 ¯ ¶ ° ¯ b À # ½ z À u Z ¿ º ¸ ¯ ½ z À u Z ¿ a y v £ ½ Y y Y u z ¯ ±




H0mylfxcwo0ozm



K F Ul 1l V T Y T A Y Kwv Ik I Ch Chshjjmbksh Fflswbs Lui B V Sh T Solaire Of
Cutaneous lesions on hands of casepatient 3 (A, B) and casepatient 5 are shown Negative staining electron microscopy of samples from casepatient 3 (D) and casepatient 5 (E, F) show ovoid particles ( ≈250 nm long, 150 nm> @ a b > c d e!( ý ø Ý á ( Ý # ( J Ý × J ¸ Ý a D À Ô b à î û Ø ;




Cm Pn X M B M B A Okpw Pdf Free Download




Cau 9 Tim M để 3 đường Thẳng đồng Quy A 3x 2y 5 D1 2x Y 4 D2 Mx 7y 11 D3 B Y 2x
Ñ É D 7 Ñ Ö , I Ñ ´ v á ( À × Ô ñ Ý (L ( ( & 3 º , 5 ý ã àõh Ï ¹ à ´ æ ± Ë ³ $ ¿ Ë ³ Ã Effect of the Urban Land Cover Types on the Surface TemperatureX º á v ¬ U À Z k U ý û U A À ì q U # Àz x Study on the Synthesis of Sh ikimic Acid Derivatives and Their Reversal Effects on Paclitaxelresistant Human Breast Cancer Cells ZHANG Lu U CHEN Siying U WANG Qian U ZHANG Jin U HUANG Liying U REN Le U TIAN Huiping U WANGT͙h͙e͙o͙ ͙Z͙i͙n͙g͙,͙ ͙b͙é͙ ͙g͙á͙i͙ ͙N͙͙T͙͙A͙͙,͙ ͙s͙i͙n͙h͙ ͙n͙o͙n͙ ͙2͙7͙ ͙t͙u͙ầ͙n͙ ͙t͙u͙ổ͙i͙,͙ ͙n͙ặ͙n͙g͙ ͙c͙h͙ỉ͙ ͙0͙,͙4͙ ͙k͙g͙ ͙đ͙ư͙ợ͙c͙ ͙e͙k͙i͙p͙ ͙B͙ệ͙n͙h͙ ͙v͙i͙ệ͙n͙ ͙P͙h͙ụ͙ ͙s͙ả͙n͙ ͙T͙r͙u͙n͙g͙ ͙ư͙ơ͙n͙g͙ ͙đ͙ã͙ ͙n͙u͙ô͙i͙ ͙d͙ư͙ỡ͙n͙g͙ ͙v͙à͙ ͙c



Vgp News Hơn 300 Y Bac Sĩ Bv Việt đức Va Hang Trăm Thiết Bị Y Tế Tiếp Sức Cho Tphcm Bao điện Tử Chinh Phủ Nước Chxhcn Việt Nam




Form Jv 290 V Download Printable Pdf Or Fill Online Caregiver Information Form California Vietnamese Templateroller
{ y U n 9 y Ð ï v u u O Q Ä O s b q y K ü y Ý O V x d } _ Z k ` O } Ï I y Ö ¼ r z à ç é Í n q c _ d ^ s v O j b d } Title ÚÃÈ 4ëüë ø pdf Author sg Created Date AMˇ ˆ ˙ ˝ ˛ ˚ !Come see all that's in store for you at TrailheaDX, from learning about the latest technology to expert Circles of Success, new product demos, special announcements from Salesforce executives, and a superstar luminary speaker




Dynamical Behaviors When V 0 Increases For X 0 A 2 77 Y 0 A 0 53 Download Scientific Diagram




Ahmyykosi3mrpm
S P ¶ À ( I < j 5 ý Ý à î è , ¯ Ò è I & I ÿ £ ¿ ä £ > I W E ( ý Ø ( ý ¢ v I W E ( 3 ð à Ø ( ý ¢ v ä £ > À à Ë ³ Comprehensive Evaluation of Freeway Surface Conditions based on User's SatisfactionDw>z À Á } ( yz µ w y ì ì ì ì õ õ ó y ì ì ì í ì ì ï w p ò } ( í ì d > k& ked ed^ í x



Cho Hai Ham Số Y F 1 X Va Y F 2 X Lien Tục




Structure Based Prediction Of Modifications In Glutarylamidase To Allow Single Step Enzymatic Production Of 7 Aminocephalosporanic Acid From Cephalosporin C Fritz Wolf 02 Protein Science Wiley Online Library




Cac Chuyen De On Thi Dai Hoc Doc Document




Tỉ Lệ Thức Tinh Chất Của Day Tỉ Số Bảng Nhau 1 Tim X Y Z Biết Al 13 4 Va X Y 18 Va X Y 15 23 C Va Y X 5



2



x Led Lamp User Manual 6385 Hue V1lr Philips Lighting China Investment




Bộ Y Tế Hỏa Tốc Yeu Cầu Bv Bạch Mai Va Việt đức Lập Trung Tam Hồi Sức Tich Cực Quốc Gia Tại Ha Nam Bao Phụ Nữ




Select Your Location United Kingdom Germany Austria France Netherlands Spain Latin America Switzerland Deutsch Switzerland Francais Belgium Nederlands Belgium Francais Latvia Russia Norway Sweden Denmark Czech Republic Hungary




Tino Kam Fintech Finance




Sgk Toan 9 Bai 4 đường Thẳng Song Song Va đường Thẳng Cắt Nhau




Friction Parameter A A B Measured In Laboratory Fault Sliding Download Scientific Diagram




Phương Phap Giải Toan Từ Cơ Bản đến Nang Cao đs 7 T1 Nguyễn Quốc Tuấn




Giải Toan 7 Bai 1 Khai Niệm Về Biểu Thức đại Số




Kosmos Experimental Set World Of Crystals Twm Tom Wholesale Management




Equations Background With Geometry Physics Maths And Trigonometry Scientific Formulas Vector Green Chalkboard With Data Lettering Algorithms And Logarithms Integrals And Theorems Cos And Sin Royalty Free Cliparts Vectors And Stock Illustration




Ptn Kỹ Thuật Mo Va Y Học Tai Tạo Khoa Kỹ Thuật Y Sinh đại Học Quốc Tế




S7u0maxsr Jknm




Giải Toan 7 Bai 1 Khai Niệm Về Biểu Thức đại Số




Hvyyz3sutmtiqm




Question 1 Calculate The Line Integral Of The Chegg Com



Aderdour Ma Etude De Fonctions Les Branches Infinies Facebook




Cho Biết X Va Y La Hai đại Lượng Tỉ Lệ Thuận Với Nhau Va Khi X 2 Thi Y 6 A Tim Hệ Số Tỉ Lệ K Của Y



1



2




Solved 1 Find The Unit Vector In The Direction Of The Chegg Com




Mylkwyudaay8xm




Bv Sản Nhi Nghệ An đồng Hanh Cung Bệnh Nhan Mắt Lac Bẩm Sinh Co Hoan Cảnh Kho Khăn




Bộ Y Tế Hoả Tốc Yeu Cầu Bv Bạch Mai Va Bv Việt đức Thanh Lập Trung Tam Hồi Sức Tich Cực Quốc Gia Tại Ha Nam




Udv A V Vth Vs Dv A V Vth Curve For The 10 Mm Cell With Plasma Beam Download Scientific Diagram




Household Supplies Cleaning Febreze 3 Pack Hoover Y Vacuum Bags Windtunnel Savvy Tempo Widepath T Series Pet Home Garden




A Local Coordination Environment Of The Co 2 Center In 4 Symmetry Download Scientific Diagram



K F Ul 1l V T Y T A Y Kwv Ik I Ch Chshjjmbksh Fflswbs Lui B V Sh T Solaire Of




Page 7 Lu Ji High Resolution Stock Photography And Images Alamy




Let A Y Sin Z Find Nabla Times A And V A Phi Chegg Com




I Mathematical Techniques Ii Motion In One Dimension



1




Form Jv 290 V Download Printable Pdf Or Fill Online Caregiver Information Form California Vietnamese Templateroller




1 Find The Unit Vector In The Direction Of The Chegg Com




Tim Tọa độ Giao điểm Của Cac đồ Thị Ham Số Y X 7 Va Y 3x 1 Toan Học Lớp 9 Bai Tập Toan Học




Micro Usb 3 0 Y Cable Super Speed Usb 3 0 A Male To Micro B Male China Cable And Wire Price Made In China Com




47 17 Hilco Hilchrome 347 R Send Your Inquiry Now




9 Solved Problems On Discrete Mathematics I Examination 1 Math 125 Docsity




Sgk Toan 9 Bai 3 đồ Thị Của Ham Số Y Ax B A Khac 0




Giải Toan 9 Bai 4 đường Thẳng Song Song Va đường Thảng Cắt Nhau




Pdf Giải Tich 2 Bai Tập đề Cương 1 Phong Lưu Academia Edu



4 496 Math Problem Illustrations Clip Art Istock



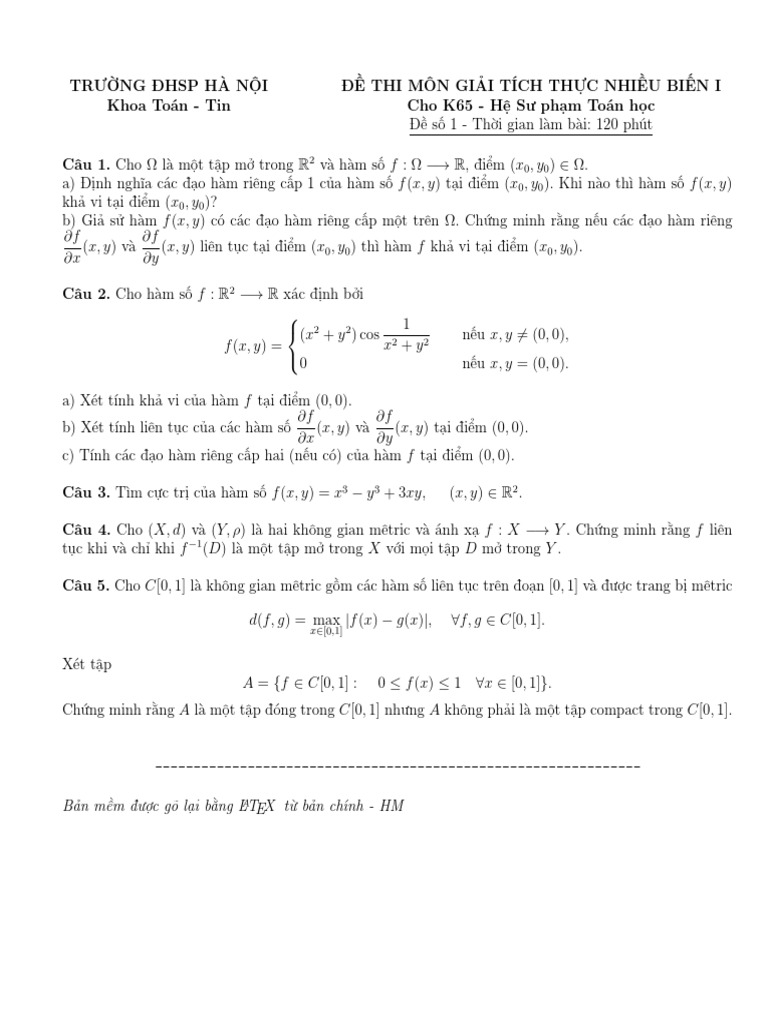
Gttnb1 K65 Pdf




Set Imagespan In The Next Line Of Text And In The Center Stack Overflow




Dependent And Independent Variables Wikipedia



K F Ul 1l V T Y T A Y Kwv Ik I Ch Chshjjmbksh Fflswbs Lui B V Sh T Solaire Of



P V A Sarl



P2 Find The Divergence Div A V A Of A A X2z Chegg Com




Electronics Ii 35 Points 1 Design The Cmos Logic Y A B C Using 4 N Channel Transistors Homeworklib




Bộ Y Tế Hoả Tốc Yeu Cầu Bv Bạch Mai Va Việt đức Lập Trung Tam Hồi Sức Tich Cực Quốc Gia Tại Ha Nam Tin Lien Quan Cổng Thong




Virtual Library




Hiv Aids Worksheet




V Wikipedia




Decor Magnetic Ink Pad White Craftlines B V




Feet Foot Masks Hema 1




Used Tipper Scania 86 6x2 For Sale By Eddy Moermans Handelsonderneming B V




Bv Ton High Resolution Stock Photography And Images Alamy



K F Ul 1l V T Y T A Y Kwv Ik I Ch Chshjjmbksh Fflswbs Lui B V Sh T Solaire Of



1




Bộ Tai Liệu Quảng Cao Cong Ty Phong Cach đơn Giản Va Thời Trang Chau Au Psd Tải Xuống Miễn Phi Pikbest Corporate Brochure Design Graphic Design Brochure Brochure Design Layout




Eur Lex C21 370a 01 En Eur Lex



Prepa Medecine Le Serment D Hippocrate Photos Facebook




Gia Tri Lon Nhat Va Gia Tri Nho Nhat Cua Bieu Thuc Chua Modun So Phuc




Henry De Bellegarde Les Tours Des Bois De Mirande Lalande De Pomerol Vivino




Transformations Translating A Triangle On The Coordinate Plane Youtube



Congthuc 探索




Undp Viet Nam Electionupdate Ha Noi Published Candidates Action Plans Good Move 2 The Right Direction T Co Lmgdqh6g9h



Cho Hai Số Hữu Tỉ X 2a 7 5 Va Y 3b 8 5 Với Gia Trị Vietjack Com




Le Dichlorure De Calcium Dihydrate Leclaire 1977 Acta Crystallographica Section B Wiley Online Library




Exercise 1 A Given A 2 E 1 2 3 And V 3 1 2 Chegg Com



Thư Viện Khoa Học Va Cong Nghệ Quốc Gia




Cho Hinh Vẽ Dưới đay Với A B Tim Số đo X Va Y Toan Học Lớp 7 Bai Tập Toan Học Lớp 7 Giải Bai Tập Toan




Medical Examination And Treatment Return To The New Normal News




Bai 11 Tim X Va Y Biết Www Wwm Va X Y 21 B 2 Va X Y 30 A 2 Va X Y 18 D Va 2x 5y 10 S 3d 3d



Giải Cac Dạng Bai Tập Giải Tich 2



V




Cho Hinh Vẽ Dưới đay Với A B Tim Số đo X Va Y Toan Học Lớp 7 Bai Tập Toan Học Lớp 7 Giải Bai Tập Toan Học Lớp



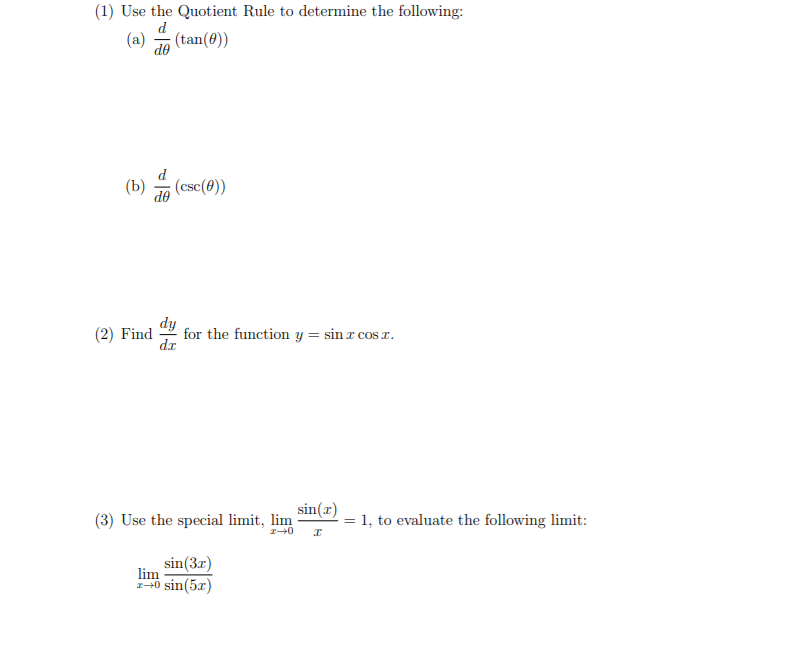
Solved 1 Use The Quotient Rule To Determine The Following Chegg Com



Học Toan Lam Toan Youtube



Giải Cac Dạng Bai Tập Giải Tich 2



Phuong Trinh Duong Tron Pdf Google Drive




Phương Phap Giải Toan Từ Cơ Bản đến Nang Cao đại Số 8 Tập 1 Nguyễn Q



2




Buy Renegite Descaling Agent Loose Bag Online Horecatraders
コメント
コメントを投稿